Accessibility Tools

Skip to main content
hubungi maklumbalas faq petalaman

 

ptjb
ptjb
ptjb
AA
a

logo transperant 2024 CAPAIAN PANTAS

 myptjb      CUKAI enhanced       PAJAKAN enhanced        BORANG enhanced        QARYAH enhanced        LOGO BENCANA enhanced

  ADUAN enhanced        PERUMAHAN enhanced        ZAKAT enhanced         AGIHAN enhanced        SPN enhanced        tic

 eMAIL enhanced       DIARY enhanced       HRMIS enhanced       KEBERADAAN enhanced      SKT enhanced       LUAR NEGARA enhanced

 PANGKAT enhanced       myptjb       MILIKAN enhanced      PROJEK enhanced       iSPEKS enhanced       MUAT TURUN BORANG enhanced

      PENTADBIRAN enhanced      PERANCANGAN enhanced      MENTERI BESAR enhanced       AHLI MAJLIS enhanced         PARLIMEN enhanced 

      DEWAN UNDANGAN enhanced       PERKELILING DAN SURAT enhanced       P, BERKUASA enhanced (1)       JABATAN &        PORTAL RASMI enhanced

logo transperant 2024 SEBUT HARGA/TENDER 

IKLAN SEBUT HARGA

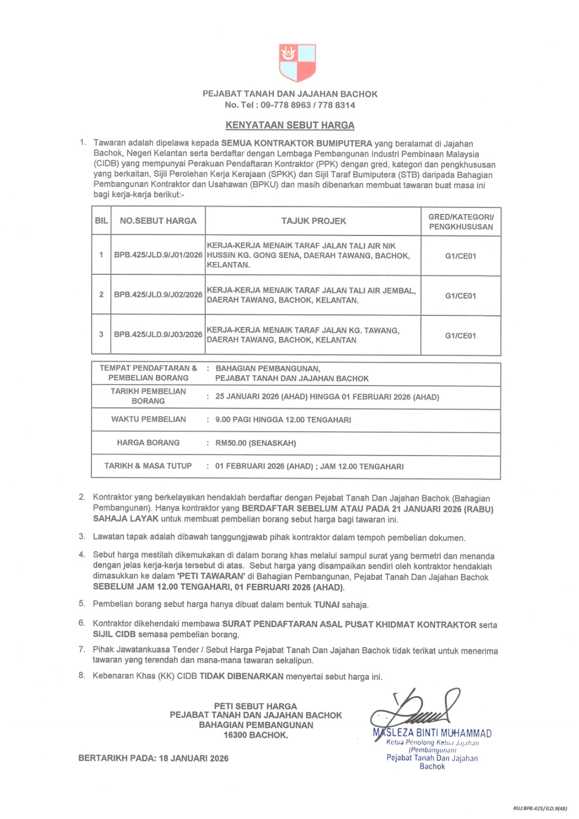
MAKLUMAN UNTUK KONTRAKTOR GRED G1 YANG BERALAMAT DI JAJAHAN BACHOK.

PENDAFTARAN LESEN KONTRAKTOR GRED G1 BAGI MENYERTAI TAWARAN KERJA SEBUT HARGA DI PEJABAT TANAH DAN JAJAHAN BACHOK TAHUN 2026

Pendaftaran hendaklah dibuat di Bahagian Pembangunan, Pejabat Tanah dan Jajahan Bachok mengikut ketetapan sesi seperti berikut:

Sesi 1 : 1 Mac 2026 sehingga 11 Mac 2026
Sesi 2 : 1 Jun 2026 sehingga 30 Jun 2026

WhatsApp Image 2026 03 01 at 7.54.44 AM 
 
WhatsApp Image 2026 03 01 at 7.54.44 AM (1)
 
 
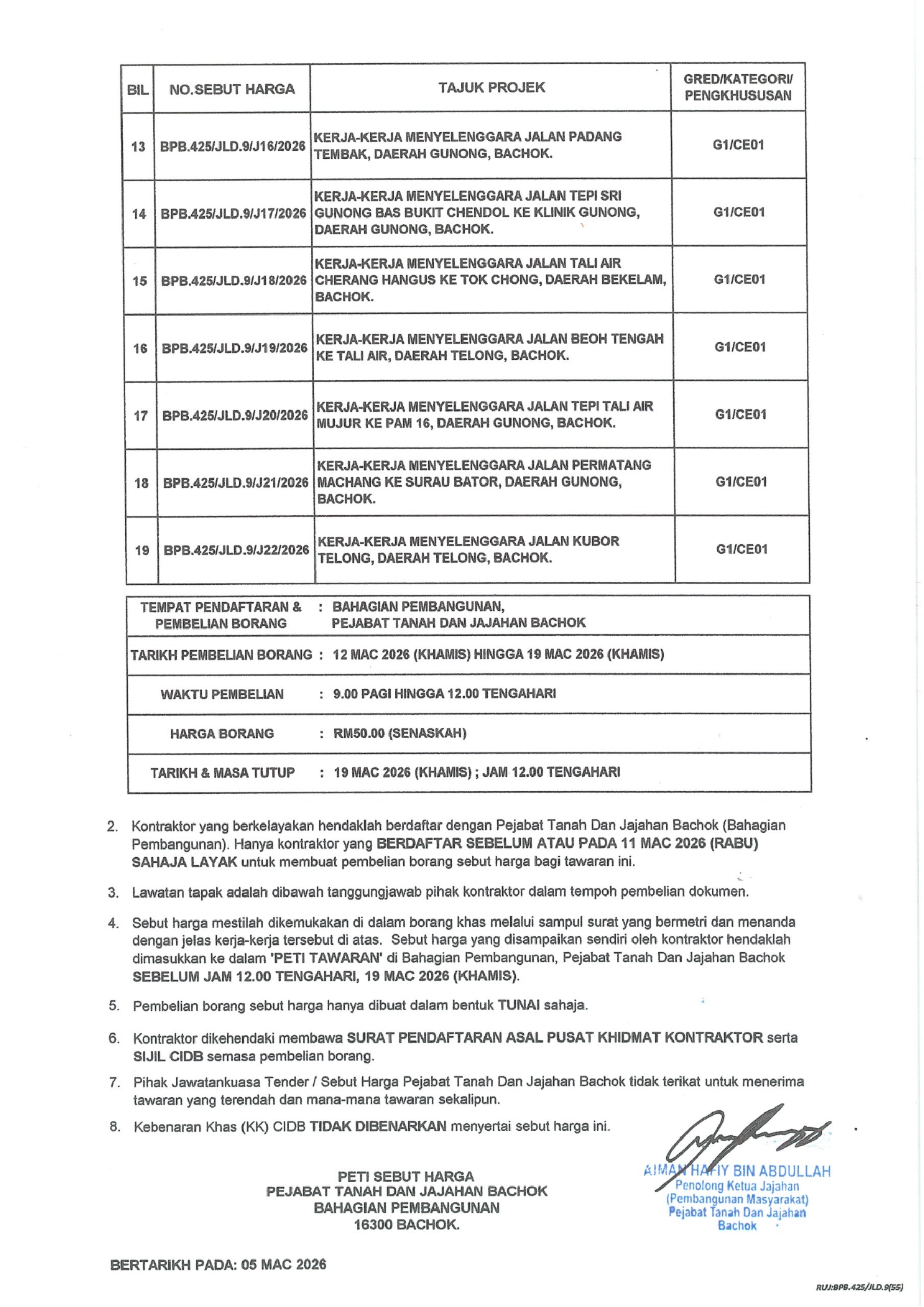
IKLAN SEBUT HARGA
 

MAKLUMAN DAN HEBAHAN: KENYATAAN TAWARAN SEBUT HARGA BIL 02/2026 BPB.425/JLD.9/J04/2026 HINGGA BPB.425/JLD.9/J22/2026.

Sukacita dimaklumkan bahawa iklan tawaran sebut harga bernombor J04 hingga J22 bagi Tahun 2026 kini telah dibuka.
Semua pihak berkepentingan dijemput untuk mengambil maklum.

1

2

NOTIS PELAWAAN KERJA

NOTIS PELAWAAN KERJA DI BAWAH PROGRAM STRATEGIK MEMPERKASA RAKYAT DAN EKONOMI (PEMERKASA)

MUAT TURUN SENARAI TAJUK KERJA UNDI
(2 NOVEMBER 2021)

(TELAH DITUTUP)

PENDAFTARAN DIBUKA PADA
(4 DAN 5 NOVEMBER 2021)

(TELAH DITUTUP)

SENARAI KONTRAKTOR YANG LAYAK MENGUNDI

AKAN DIPAMERKAN PADA 
7 NOVEMBER 2021

(TELAH DITUTUP)

LANGSUNG PENGUNDIAN PROJEK
9 NOVEMBER 2021
10.00 PAGI
FB LIVE 

(TELAH DITUTUP)

KEPUTUSAN PENGUNDIAN PADA
9 NOVEMBER 2021 


(TELAH DITUTUP)

    logo transperant 2024 DATA TERBUKA

DATA TERBUKA
  • PENGENALAN DATA TERBUKA

    Data terbuka merujuk data kerajaan yang boleh digunakan secara bebas, boleh dikongsikan dan digunakan semula oleh rakyat, agensi sektor awam atau swasta untuk sebarang tujuan. Ia berperanan sebagai penggerak dalam inisiatif kerajaan berpaksikan rakyat. Pelaksanaan data terbuka dapat meningkatkan kualiti dan ketelusan penyampaian perkhidmatan kerajaan menerusi perkongsian data yang tepat, cepat dan relevan. Di samping itu, ia juga dapat meningkatkan produktiviti dan ekonomi negara melalui industri/inovasi baharu dengan penglibatan rakyat dan komuniti perniagaan.

    Portal Data Terbuka Sektor Awam (DTSA) iaitu data.gov.my telah dibangunkan pada tahun 2014 dan telah mendapat penarafan Data Terbuka pada peringkat antarabangsa pada kedudukan ke-41 daripada 86 negara. Portal DTSA memudahkan data terbuka kerajaan diakses secara berpusat daripada sumber yang rasmi.

    Pejabat Tanah Dan Jajahan Bachok (PTJB) menyahut inisiatif kerajaan untuk melaksanakan data terbuka bagi meningkatkan kualiti dan ketelusan penyampaian perkhidmatan kerajaan menerusi perkongsian data yang tepat, cepat dan relevan. Halaman ini diwujudkan bertujuan untuk memaparkan set data yang boleh dikongsikan dan digunakan semula oleh rakyat, agensi sektor awam atau swasta untuk sebarang tujuan.

    Data Permohonan Urusan Tanah Di Pejabat Tanah dan Jajahan Seluruh Negeri Kelantan Bagi Tahun 2015.

    Pekeliling Am Bilangan 1 Tahun 2015 - Pelaksanaan Data Terbuka Sektor Awam

BANTUAN PENGGUNA PORTAL
  • Bagi pertanyaan am, anda boleh merujuk kepada soalan lazim, untuk mendapatkan jawapan segera.Sila hantarkan isu atau pertanyaan anda menggunakan borang maklumbalas yang disediakan atau hubungi melalui telefon.

    1. Muat Turun Dokumen/Fail

    1.Sila Pilih Seksyen/Kategori Media - Muat Turun Dokumen

    2.Baca penerangan tentang fail bagi setiap kategori

    3.Ambil maklum tentang saiz fail yang ingin dimuat turun

    4.Klik pada nama fail atau pada butang "Muat Turun"

    5.Ikut arahan pelayar untuk pemilihan lokasi penyimpanan fail.

    1. Direktori Kakitangan

    Hanya maklumat Pegawai-pegawai Kanan dan Pegawai Sokongan 1 sahaja yang dipaparkan.Sebarang masalah sambungan, sila hubungi 609-778 8963 / 609-778 8314

    1. Sandikasi - RSS

    Maklumat lanjut tentang teknologi RSS boleh didapati di sini. Manakala RSS Laman Web Rasmi PTJB boleh didapati di sini..Klik link ni http://www.ptjb.kelantan.gov.my

    1. Pilihan Bahasa

    Sila ambil perhatian bahawa ini ialah sebuah aplikasi luaran dan dihos pada pelayan luaran serta merupakan perkhidmatan yang disediakan secara percuma. Ketepatan maksud sebenar terjemahan mungkin tidak tepat dari maksud sebenar penggunaan Bahasa Malaysia.

    1. Cara melayari portal menggunakan telefon bimbit anda.

    1.Pastikan telefon bimbit anda telah di set untuk sambungan 3G. (Hubungi penyedia perkhidmatan anda sekiranya anda tidak pasti).

    2.Sebagai alternatif, jika telefon bimbit atau PDA anda mempunyai sambungan WiFi, aktifkan WiFi anda dan cari sambungan WiFi pilihan anda. (Sila ambil maklum bahawa kebanyakan perkhidmatan WiFi memerlukan langganan).

    3.Pilih pelayar (‘browser’) yang terdapat dalam telefon anda (contohnya. Internet Explorer, Opera, Safari, Web Mobile, dll.).

    4.Layari laman web menggunakan ‘browser’ dengan menaip http://ptjpm.kelantan.gov.my dan klik OK/Enter/Submit. Paparan di bawah akan muncul di skrin telefon anda (bergantung pada jenama dan model telefon).

    5.Paparan Model iPhone

    Pejabat Tanah Dan Jajahan Bachok
    Paparan terbaik dengan IE 7.0, Google Chrome 10.0, Safari 4.0, Opera 10.0 atau Mozilla Firefox 3.0 dengan resolusi 1280 x 800

logo transperant 2024 BAYARAN HASIL TANAH
(MANUAL PENGGUNA
)

logo transperant 2024 KEPUASAN PELANGGAN

Tinjauan Kepuasan Laman Web
  • Votes: (0%)
  • Votes: (0%)
  • Votes: (0%)
Icon loading polling
Total Votes:
First Vote:
Last Vote:

logo transperant 2024 APLIKASI KERAJAAN

logo transperant 2024 MAKLUM BALAS 

Hubungi kami jika anda ingin memberi sebarang maklum balas mahupun aduan. maklum balasa / aduan anda akan dijadikan input bagi meningkatkan lagi tahap kualiti dan mutu perkhidmatan yang disediakan pihak kami


logo transperant 2024 PAUTAN KERAJAAN

 mdb             

mdd

      

mdgm

         

mdj

mdk

   

mdkk

          

mdm

           

mdpm

         

mdpp

         

 mdt

            

     

mdtm

          

mpkb

 

logo transperant 2024 MEDIA SOSIAL

  logo transperant 2024 VIDEO

SEO - PORTAL PTJ BACHOK

DASAR PRIVASI

KELGOV PPST
Keratan Akbar